25.3 C
Manaus
sábado, 4 abril, 2026
InícioBrasilEstatais federais ampliam lucro e investimento, mas resultados seguem desiguais em 2025

Estatais federais ampliam lucro e investimento, mas resultados seguem desiguais em 2025

Date:


As empresas estatais federais acumularam lucro de R$ 136,3 bilhões até o terceiro trimestre de 2025, alta nominal de 22,5% em relação ao mesmo período de 2024, segundo boletim divulgado pelo Ministério da Gestão e da Inovação em Serviços Públicos (MGI). O resultado agregado positivo, no entanto, não se distribui de forma homogênea entre as companhias.

Das 39 estatais que já divulgaram seus balanços no período, 20 apresentaram piora no desempenho — seja por aumento do prejuízo, seja por redução do lucro em comparação ao ano anterior. O dado reforça a leitura de que o avanço global é fortemente concentrado em grandes grupos, especialmente no setor de energia.

Entre os casos mais críticos está o dos Correios, que registraram prejuízo de R$ 6,1 bilhões nos primeiros nove meses de 2025, quase três vezes superior ao resultado negativo de R$ 2,1 bilhões observado no mesmo período de 2024. No fim do ano passado, a estatal contratou um empréstimo de R$ 12 bilhões com garantia do Tesouro Nacional, vinculado a um plano de reestruturação que prevê corte de despesas e ampliação de receitas via novos contratos e parcerias.

O Banco do Brasil também apresentou deterioração, embora tenha permanecido lucrativo. O banco encerrou o período com lucro de R$ 12,8 bilhões, ante R$ 26,7 bilhões no ano anterior. A redução reflete principalmente o aumento da inadimplência, com destaque para o crédito rural, que exigiu maiores provisões. O governo aprovou recentemente novas condições de renegociação desses contratos, o que pode aliviar o resultado nos próximos balanços.

Além dessas, Banco Nacional de Desenvolvimento (BNDES), Empresa Brasileira de Participações em Energia Nuclear e Binacional S.A (ENBPar), Casa da Moeda, Banco da Amazônia e Companha Nacional de Abastecimento (Conab) figuram entre as estatais com piora no desempenho. ENBPar e Casa da Moeda, inclusive, constam na lista do Tesouro Nacional de empresas com situação financeira considerada frágil, com risco de necessidade de aporte da União.

Petrobras puxa alta e sustenta resultado agregado

Na outra ponta, 19 estatais apresentaram melhora no resultado, impulsionadas principalmente pela Petrobras. O grupo registrou lucro de R$ 94,6 bilhões até o terceiro trimestre de 2025, crescimento de 75% em relação ao mesmo período de 2024.

A Caixa Econômica Federal também teve desempenho positivo, com lucro de R$ 13,5 bilhões nos nove primeiros meses de 2025, ante R$ 9 bilhões no exercício anterior.

Já a Infraero reduziu significativamente seu prejuízo, que caiu de R$ 214,5 milhões para R$ 19,8 milhões. Segundo o governo, o resultado contábil é impactado por custos extraordinários, como o programa de demissão voluntária e o modelo de contabilização de investimentos em aeroportos que não pertencem à empresa.

Maior dependência do Tesouro

Os dados integram o boletim trimestral do MGI, retomado após interrupção no fim de 2022. O governo federal controla atualmente 44 estatais, das quais 17 são dependentes do Tesouro Nacional para financiar despesas correntes.

Essas empresas receberam subvenções de R$ 20,8 bilhões até setembro de 2025, valor 14,2% superior ao do mesmo período de 2024. Já as estatais não dependentes, que podem gerar receitas para a União via dividendos, repassaram R$ 33 bilhões no período — queda de 17,8% na comparação anual.

Investimentos crescem e explicam déficits fiscais

O faturamento total das estatais alcançou R$ 1,01 trilhão até o terceiro trimestre de 2025, alta nominal de 6,3%. Os investimentos também avançaram: foram R$ 86,4 bilhões até setembro, frente a R$ 64,4 bilhões no mesmo intervalo de 2024, já descontada a inflação. Dados preliminares indicam investimento total de R$ 111 bilhões no ano.

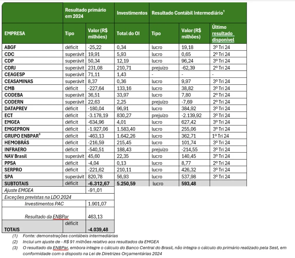
Em 2024, o investimento das estatais cresceu 44,1% em relação a 2023, somando R$ 96,18 bilhões. Segundo o MGI, grande parte dos déficits primários registrados decorre justamente desse aumento do investimento, financiado com recursos em caixa, e não de prejuízo operacional.

Das 20 empresas consideradas na metodologia fiscal do Banco Central, 16 caminham para fechar 2024 com lucro contábil, embora várias apresentem déficit primário. “Não podemos confundir déficit com prejuízo”, afirmou a ministra da Gestão, Esther Dweck, ao defender que o resultado primário não é uma medida adequada da saúde financeira das estatais em períodos de forte expansão do investimento.

Déficit não significa fragilidade, diz governo

A avaliação do governo é de que déficits associados a investimentos não representam risco ao Tesouro Nacional, já que não exigem cobertura orçamentária. Exemplos como Empresa Nacional de Inteligência em Governo Digital e Tecnologia da Informação (Serpro), Dataprev e Empresa Brasileira de Hemoderivados e Biotecnologia (Hemobrás) ilustram essa leitura: todas registraram lucro contábil relevante em 2024, apesar de déficits primários decorrentes de projetos de expansão.

estatais

Nesse contexto, o MGI sustenta que os dados reforçam o papel das estatais como instrumentos de investimento e desenvolvimento de longo prazo, ainda que os resultados financeiros sigam marcados por forte assimetria entre empresas e setores.





ICL Notícias

spot_img
spot_img